12th Dec '25

Potential Dividers

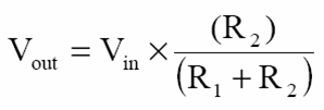
A potential divider is used to provide a required voltage.

So that it can provide the correct input to the processor in an electronic circuit, an input sensor is used as one of the resistors in a potential divider circuit and a variable resistor is used as the other resistor.

The voltage that is supplied to the potential divider (Vin) is shared across the two resistors. If either resistance is increased (or reduced), the share of the voltage across it also increases (or reduces).

Vout is fed to the processor.

Changes in the surroundings change the resistance of the input sensor. This changes the value of Vout. If Vout changes enough, the input to the processor will change from being high to being low (or vice versa).

You can adjust the variable resistor so that Voutchanges from high to low when the surroundings that the input sensor detects are at a particular level.